Contoh soal pertidaksamaan nilai mutlak dan penyelesaiannya beserta langkah langkah cara penyelesaian sifat sifat dan contoh dalam kehidupan. Soal dan pembahasan persamaan dan pertidaksamaan nilai mutlak ini adalah salah satu hal yang wajib kamu tahu dimana admin blog soal kunci jawaban menyampaikan soal dan pembahasan persamaan dan pertidaksamaan nilai mutlak kepada teman teman semua yang saat ini mencari soal dan pembahasan persamaan dan pertidaksamaan nilai mutlak dengan ini.

Dijelaskan terlebih dahulu tentang sifat nilai mutlak.

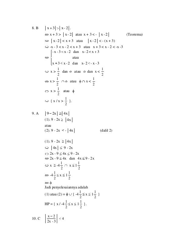
Soal beserta jawaban tentang nilai mutlak. Soal yang kami berikan juga akan memberikan pembahasaan dan juga kunci jawabannya sehingga anda tidak perlu kawatir tentang soal nilai mutlak yang kami sampaikan tersebut. Rumuscoid setelah sebelumnya kita membahas tentang bilangan prima kali ini kita akan membahas materi tentang pertidaksamaan nilai mutlak kita akan jabarkan secara detail dan lengkap mulai dari pengertian rumus pengantar sifat sifat dan contoh pertidaksamaan nilai mutlak beserta langkah langkah penyelesaian nilai mutlak. 80 jawaban diberikan dalam 10 menit kami tidak hanya menjawab kami juga menjelaskan.
Contoh soal pertidaksamaan nilai mutlak dan penyelesaiannya beserta langkah langkah cara penyelesaian. Soal dan pembahasan pertidaksamaan nilai mutlak posted october 15 2013 february 26 2018 rudolph lestrange nilai mutlak didefinisikan sebagai sebuah notasi yang menyatakan nilai yang selalu positif. Rangkuman materi bab pertidaksamaan disertai contoh soal dan jawaban dengan pembahasan lengkapnya simak disini.
Ini akan sangat memudahkan buat anda semua yang ingin belajar soal nilai mutlak tersebut. Contoh soal cerita nilai mutlak. Ajukan pertanyaan tentang tugas sekolahmu dapatkan penjelasan bukan hanya jawaban.
Berikut pembeahasan menyelesaikan persamaan nilai mutlak linear satu variabel dengan mudah. Mutu dijamin oleh pakar kami aku menginginkan akun gratis. Beserta pembahasan konsep nilai mutlak sifat persamaan dan contoh soal penyelesaian persamaaan nilai mutlak satu variabel.
Dan contoh dalam kehidupan sehari hari.







